
一二次根式化简求值题目,请写出解题过程!在线等!
http://sz.photo.store.qq.com/rurl2=107c937cf46b710ba653ef2fd3cb13d6abb9b9dc5de58dce27...
http://sz.photo.store.qq.com/rurl2=107c937cf46b710ba653ef2fd3cb13d6abb9b9dc5de58dce271dd08f8156f08ec1ebffbff6b7fdb7140327b5306cdcabdeaa2f27fe36e9c05d1d7bde8fa2e31329a099b20e14502eb79f9d57d02772d3492e570d
http://user.qzone.qq.com/546656298/blog/1218117731
看不了请到以上网址 展开
http://user.qzone.qq.com/546656298/blog/1218117731
看不了请到以上网址 展开
展开全部
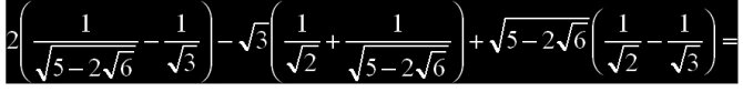
5-2√6=(√3-√2)^2
所以√(5-2√6)=√3-√2
2{1/√(5-2√6)-1/√3}-√3{1/√2+1/√(5-2√6)}+√(5-2√6){1/√2-1/√3}
=2{1/(√3-√2)-√3/3}-√3{√2/2+1/(√3-√2)}+(√3-√2){√2/2-√3/3}
=2{(√3+√2)-√3/3}-√3{√2/2+(√3+√2)}+(√3-√2){(√3-√2)/(√3*√2)}
=2(2√3/3+√2)-√3(√3+3√2/2)+(5-√6)/(√6)
=4√3/3+2√2-3-3√6/2+5√6/6-1
=4√3/3+2√2-2√6/3-4
楼上的,可以看得。
在那个标志上右击,选属性,那里有图片的地址,把它复制到地址栏,然后回车就可以了。
所以√(5-2√6)=√3-√2
2{1/√(5-2√6)-1/√3}-√3{1/√2+1/√(5-2√6)}+√(5-2√6){1/√2-1/√3}
=2{1/(√3-√2)-√3/3}-√3{√2/2+1/(√3-√2)}+(√3-√2){√2/2-√3/3}
=2{(√3+√2)-√3/3}-√3{√2/2+(√3+√2)}+(√3-√2){(√3-√2)/(√3*√2)}
=2(2√3/3+√2)-√3(√3+3√2/2)+(5-√6)/(√6)
=4√3/3+2√2-3-3√6/2+5√6/6-1
=4√3/3+2√2-2√6/3-4
楼上的,可以看得。
在那个标志上右击,选属性,那里有图片的地址,把它复制到地址栏,然后回车就可以了。
推荐律师服务:
若未解决您的问题,请您详细描述您的问题,通过百度律临进行免费专业咨询